¶íÂÞ˹¹ó±ö»á¼¯ÍÅ

English ¶íÂÞ˹¹ó±ö»á¼¯Íż¯ÍÅÆóÒµÓÊÏä
icon_searchclose

µÚÒ»½Ú ÌØ´óÃæ»ýÉÕÉ˲¡Àý(1)Ò½Öμͼ

×÷ÕߣºÐìÈÙÏé ³ö°æÉ磺Öйú¿ÆÑ§¼¼Êõ³ö°æÉç ¿¯ÐÐÈÕÆÚ£º2009Äê7ÔÂ

¼¯ÖÐÇ÷Ïò£¨central tendency£©Ö¸µÄÊÇÒ»¸ö¼ÆÁ¿×ʲÂÖÐËùÓй۲ìÖµµÄÖÐÐĵØÎ»¡£ÃèÊö¼¯ÖÐÇ÷ÏòµÄÖØÒªÖ¸±êÓÐËãÊõ¾ùÊý£¨arithmetic mean£©¡¢¼¸ºÎ¾ùÊý£¨geometric mean£¬G£©ºÍÖÐλÊý£¨median£¬M£©£¬ÕâЩָ±êÒ²³ÆµØÎ»»³±§Ö¸±ê£¨measerus of location£©¡£
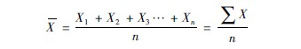
Ò»¡¢ËãÊõ¾ùÊý
¾ùÔÈÖµÊǰµÊ¾Ò»ÈºÐÔÖÊÒ»Ñù±äÁ¿ÖµµÄ¼¯ÖÐÇ÷Ïò»ò¾ùÔÈˮƽ¡£ÀýÈ磬ÓûÏàʶijµØ³ÉÈËÄÐ×Óºìϸ°ûµÄÕý³£Ë®Æ½£¬Èç¹ûÎÒÃÇÖ»²â¶¨Ò»Óײ¿ÃÅÑù±¾£¨ÉÙÊýÈË£©£¬ÆäÁ˾ÖÏÔÈ»²»ÄÜ´ú±í×ÜÌåˮƽ£¬Ö»ÓÐÕÉÁ¿´óÁ¿¸ÃµØÓò½¡È«ÄÐÐÔ»òÅ®ÐÔºìϸ°ûÊý£¬Çó³öÒ»¸ö¾ùÔÈÖµ£¬·½ÄܱÈÁ¦ÇкÏÏÖʵµÄ·´Ó³³öÄÐÐÔ»òÅ®ÐÔѪҺºìϸ°ûµÄÕæÊµÇé¿ö¡£Òò¶ø£¬¾ùÔÈÊýÓ¦ÓµÓÐÁ½¸ö¸ù»ùÌØµã£ºÒ»¸öÊǸõ±ÓÐһȺ´óµÄÑù±¾ÊýÁ¿£¬µÚ¶þ¸öÊÇÓµÓÐͬÐÔÖÊ¡£ÓÃÂí¿Ë˼µÄ»°À´Ú¹ÊÍ£¬“¾ùÔÈÁ¿Ö»ÊÇÖÖÀàÒ»ÑùµÄºÜ¶à·ÖÆçµÄ¸ö±ðÁ¿µÄ¾ùÔÈ”¡£ÈôÊDz»Ë¼¿¼ÐÔÖÊÒ»ÑùÕâһǰÌá£¬Ã¤Ä¿ÍÆËã±äÁ¿ÖµµÄ¾ùÔÈÊý£¬²»Ö»²»ÄÜÕýÈ·×¢Ã÷±»×êÑÐÊÂÎïµÄÕæÏ࣬Ïà·´»¹»áµ¼ÖÂÃýÎóµÄ½áÂÛ¡£¾ùÔÈÖµµÄÍÆËã²½Ö裺
£¨Ò»£©Ö±½ÓÍÆËã·¨
Ö±½ÓÍÆËã·¨Ò²³ÆËãÊõ¾ùÊý£¬ºÏÓÃÓÚÓ×Ñù±¾¾ùÊýÍÆËã¡£¹«Ê½£¨3ª²6ª²1£©Îª£º
20113414473773

XΪ¾ùÔÈÊý£¬xΪ±äÁ¿Êý£¬nΪ±äÁ¿ÖµµÄ¸öÊý£¬∑°µÊ¾×ܺ͵ķûºÅ£¬∑xΪ¸÷±äÁ¿µÄ×ܺÍ¡£
ʾÀý3ª²6ª²1ijҽÉúÕÉÁ¿ÁË10Àý³à×ÓÉÕÉË»¼ÕßµÄÌå³Á±ðÀëΪ£º10¡¢12¡¢14¡¢15¡¢24¡¢17¡¢33¡¢35¡¢28¡¢35kg£¬ÇóËûÃǵľùÔÈÌå³Á £¿
¡¾½â¡¿Æ¾¾Ý¹«Ê½£¨3ª²6ª²1£©£¬ÍÆËãÈçÏ£º
201134144713541

´ð£ºËûÃǵľùÔÈÌå³ÁΪ22ª±3kg¡£
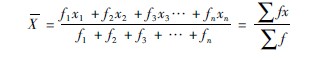
£¨¶þ£©¼ÓȨ·¨
Ò²ÊôÓÚËãÊõ¾ùÊý£¬ºÏÓÃÓÚ´óÑù±¾¾ùÊýÍÆËã¡£¹«Ê½£¨3ª²6ª²2£©Îª£º
201134144754474

ʽÖÐX1£¬X2£¬X3£¬…Xn±ðÀëΪ¸÷×é¶ÎµÄ×éÖÐÖµ£¬¼´±¾×é¶ÎµÄÏÂÏÞÓëÏàÁڽϴó×é¶ÎµÄÏÂÏÞÏà¼Ó³ýÒÔ2£¬ÈçÏÂÀý£¨±í3ª²6ª²1£©ÖГ108~”×é¶ÎµÄ×éÖÐÖµX1=£¨108+110£©/2=109£¬ÓàÀàÍÆ¡£ÕâÀïµÄfÆðµ½Á˓ȨÊý”µÄ×÷Óã¬ËüºâÁ¿Á˸÷×éÖÐÖµÓÉÓÚÆµÊý·ÖÆç¶Ô¾ùÊýµÄÓ°Ïì¡£¼´ÆµÊý¶à£¬È¨Êý´ó£»ÆµÊýÉÙ £¬È¨ÊýÓ×£¬×÷ÓÃÒ²Óס£Òò¶ø£¬±¾·¨³ÆÎª¼ÓȨ·¨¡£
×éÖÐÖµÍÆË㹫ʽ£¨3ª²6ª²3£©Îª£º
201134144810303

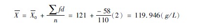
ʾÀý3ª²6ª²2ijҽԺ²â¼ìÁË110ÀýÌØ³Á¶ÈÉÕÉ˲¡ÈËѪҺѪºìµ°°×º¬Á¿£¬ÆäŨ¶ÈÁìÓòÔÚ115¡«150g/LÖ®¼ä£¬ÆµÊýÉ¢²¼Çé¿ö¼û±í3ª²6ª²1£¬ÀûÓÃ×éÖÐÖµ²½ÖèÍÆËãËûÃǵľùÔÈѪºìµ°°×Ũ¶È¡£
201134144831245

¡¾½âÌâ²½Öè¡¿
1ª±Æ¾¾Ý110Àý²¡È˵ļì²âÁ˾Ö£¬ÒÔ2g/L²î¶î»®·ÖµÈ¼¶£¬¼´×é±ð˳´ÎΪ£º108¡¢110¡¢112¡¢…132µÈ13¸öµÈ¼¶¡£
2ª±½«µØµãµÈ¼¶ÁìÓòÄÚµÄÀýÊý×÷ΪƵÊý£¬ÈçÔÚ108¡«110Ö®ÄÚÕß¹²1Àý£¬ÆäƵÊýΪ1¡£
3ª±Æ¾¾Ý¹«Ê½3ª²6ª²3ÍÆËã×éÖÐÖµ£ºÈÔÒÔ108¡«110×éΪÀý£¬±¾×é¶ÎÏÂÏÞΪ108£¬ÉÏÏÞΪ110£¬108+110/ƵÊý=218/2=109¡£
4ª±ÓÉÓÚfn=ƵÊý××éÖÐÖµ£¬ÒÔ´ËÍÆËã¸÷×éµÄѪºìµ°°××ÜÁ¿¡£
5ª±½«¸÷×éµÄ×éÖÐÖµÏà¼Ó£¬Çó³ö∑f¡£
6ª±½«ÒÔÉÏÍÆËãÁ˾ֻãÔì±í3ª²6ª²1ÖС£
7ª±Æ¾¾Ý¹«Ê½£¨3ª²6ª²2£©£¬ÇóXÖµ£º
201134144849489

8ª±Á˾֣º110Àý²¡È˵ÄѪºìµ°°×¾ùÔÈֵΪ119ª±95g/L¡£
£¨Èý£©¼ò½Ý·¨
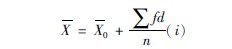
¼ò½Ý·¨Êǽ«ÆµÊý±íÉϵÄÊýÖµ¼ò»¯³É×îµ¥Ò»µÄÌìÈ»Êý£¬ÔÙ°´¹«Ê½£¨3ª²6ª²4£©ÍÆËã¾ùÖµ£º
201134144857634

ʽÖÐXΪ¾ùÊý£¬X0ΪÈç¹û¾ùÊý£¬iΪ×é¾à£¬fΪ±äÁ¿ÖµµÄƵÊý£¨¼´¸öÊý£©£¬dΪ²îÊý£¬nΪ¹Û²ìÖµÊý¡£
¡¾½âÌâ²½Öè¡¿
1ª±ÈÔÒÔÀý3ª²6ª²2ΪÀý£¬¼ÙÔìÆµÊý±í3ª²6ª²2¡£
2ª±ÍÆËã¸÷×éµÄ×éÖÐÖµ£ºÍÆË㹫ʽΪ3ª²6ª²3£¬µÚÒ»×éµÄ×éÖÐֵΪ£¨108+110£©/2=109¡£ÆäËû×éµÄ×éÖÐÖµÍÆËã²½ÖèÓë´Ë·¨Ò»Ñù¡£
3ª±Ñ¡ÔñÒ»¸ö×éÖÐÖµ×÷ΪÈç¹û¾ùÊý£ºÎªÁ˱ãÒÔÍÆË㣬ÒËѡƵÊý×î¶àµÄÒ»×飬±¾ÀýµÚÆß×鯵Êý¶à´ï21£¬Ó¦ÒÔÆß×éµÄ×éÖÐÖµ£¨21£©ÎªÈç¹û¾ùÊý¡£
4ª±Ã¿×éµÄ×éÖÐÖµ¶¼¼õÈ¥Èç¹û¾ùÊý0£¬¶øºó³ýÒÔ×é¾à£¨×é¾àΪ2£©£¬°Ñ¸÷×éµÄ×éÖÐÖµ¼ò»¯Îª×îµ¥Ò»µÄÌìÈ»Êý£¨²îÊýd£©¡£µÚÆß×é×éÖÐֵΪ121£¬Èç¹û¾ùÊýΪ121¡£d=(121-121)=0£¬µÚ°Ë×éd=£¨123-121£©/2=1£¬ÆäÓàÀàÍÆ¡£´Ó±íÖеÄÍÆËãÁ˾ÖÄܹ»¿´³ö£¬Ñ¡¶¨ÎªÈç¹ûµÄÒ»×éΪ0£¬±ÈËüÓ׵ĸ÷×é¶Î°´ÐòΪ-1£¬-2…±ÈËü´óµÄ¸÷×é¶Î°´ÐòΪ1£¬2£¬3£¬…
5ª±Æ¾¾Ý±í3ª²6ª²2ÖеÄÊý¾Ý£¬ÍÆËãµÃ£º

´úÈ빫ʽ£¨3ª²6ª²4£©£¬µÃ£º
20113414496165

¼ò½Ý²½ÖèµÄÍÆËãÁ˾ÖÓë¼ÓȨ·¨ÍÆËãÁ˾ÖÀàËÆ¡£

201134144923968

201134144937494

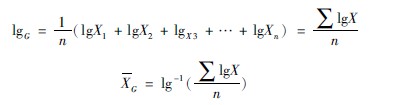
¶þ¡¢¼¸ºÎ¾ùÊý
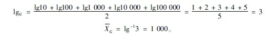
¼¸ºÎ¾ùÊý£¨geometric mean£¬G£©ÓÃÓÚ´¦ÖÃÊý¾ÝÖÐÉÙÊýÊýÖµ¹ý´óµÄ×ÊÁÏ£¬»òËüÃÇÖ®¼äÏà²î½Ï´ó£¬»òΪ±¶Êý¹ØÏµ¡£ÆäÖ±½Ó·¨ÍÆË㹫ʽΪ£¨3ª²6ª²4£©£º
201134144959500

GΪ¼¸ºÎ¾ùÊý£¬X1£¬X2…Ϊ¸÷±äÁ¿Öµ£¬nΪ×ÜÆµÊý¡£ÉÏʽÄܹ»Ð´³É¶ÔÊýÐι«Ê½£¨3ª²6ª²5£©ºÍ¼ÓȨ¹«Ê½£¨3ª²6ª²6£©£º
201134145020103

ʾÀý3ª²6ª²3£º5Àý²¡ÈËѪÇ忹ÌåЧ¼Û±ðÀëΪ1¡Ã10¡¢1¡Ã100¡¢1¡Ã1000¡¢1¡Ã10000¡¢1¡Ã100000£¬ÇóÆäЧ¼Û¾ùÔÈÖµ¡£
¡¾½âÌâ²½Öè¡¿
½«ÌâÖÐÊý×Ö´úÈ빫ʽ£¨3ª²6ª²5£©£º
201134145032176

´ð£º²¡ÈËѪÇ忹ÌåЧ¼Û¾ùÔÈֵΪ1¡Ã1000¡£
Èý¡¢ ÖÐλÊýÊý·¨
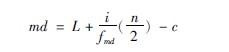
ÖÐλÊý£¨medi£¬M£©Ö¸Ò»×é°´´óÓ×ÖÈÐò·ÖÁеıäÁ¿Öµ£¬ÕýÖÐÑëËù´¦µÄÊýֵΪÖÐÑëÊý¡£µ±Ò»×é±äÁ¿ÖµÖУ¬´ó²¿ÃűÈÁ¦¼¯ÖУ¬½öÓÐÉÙÊýÆ«ÀëÒ»²àʱ£¬ÒËÓÃÖÐλÊý°µÊ¾ËüÃǵļ¯ÖÐÇ÷Ïò¡£µ±±äÁ¿ÖµµÄ¸öÊýnÎªÆæÊýʱ£¬ÖÐλÊýµØµãλ´ÎΪ£¨n£«1£©/2£»µ±nΪżÊýʱ£¬Î»´Î¾ÓÖÐÒÔÁ½¸ö±äÁ¿ÖµµÄ¾ùÔÈÊý¼´ÎªÖÐλÊý¡£¹«Ê½Îª£¨3ª²6ª²7£©£º
201134145039415

MdΪÖÐλÊý£¬LΪÖÐλÊýµØµã×éµÄÏÂÏÞ£¬iΪÖÐλÊýµØµã×éµÄ×é¾à£¬fmdΪÖÐλÊýµØµã×éµÄƵÊý£¬nΪ×ܶîÊý£¬cΪÖÐλÊýµØµã×éÒÔǰµÄÀÛ¼ÆÆµÊý£¬ÀÛ¼ÆÆµÊýΪÿ×éÀýÊýÓëÆä֮ǰ¸÷×éÀýÊýÖ®ºÍ¡£
ʾÀý3ª²6ª²4±í3ª²6ª²3ÖмͼÁË145ÀýÉÕÉËÐÝ¿ËÆÚ²¡ÈËÉ˺óסԺ½ÓÊÜÒ½ÖεŦ·ò£¨¼û±í3ª²6ª²3£©£¬ÎÊËûÃÇÐÝ¿ËÆÚסԺ½ÓÊÜÒ½Öι¦·òµÄÖÐλÊýÊǼ¸¶à £¿
201134145050254

¡¾½âÌâ²½Öè¡¿
´Ó±í3ª²6ª²3Öп´³ö£¬×ÜÆµÊý145µÄÒ»°ëΪ72ª±5£¬“¡«18h”×éµÄÀÛ¼ÆÆµÊýΪ101£¬´óÓÚ72ª±5£¬Òò¶ø£¬¸Ã×é¾ÍÊÇÖÐλÊýµØµã×é¡£
ƾ¾Ý¹«Ê½£¨3ª²6ª²7£©£¬ÍÆËãÖÐλÊý£º
20113414510522

£¨“¡«18h”×éµÄ¹¦·òÏÂÏÞÓ¦´óÓÚ12£¬ÎªÍÆËã·½±ãѡΪ12£©
´ð£º¸Ã×鲡ÈËÐÝ¿ËÆÚסԺ½ÓÊÜÒ½Öι¦·òµÄÖÐλÊýÊÇ13ª±5Ó×ʱ¡£

¡¾ÍøÕ¾µØÍ¼¡¿