¶íÂÞ˹¹ó±ö»á¼¯ÍÅ

English ¶íÂÞ˹¹ó±ö»á¼¯Íż¯ÍÅÆóÒµÓÊÏä
icon_searchclose

µÚ¶þ½Ú Ïà¶ÔΣÏնȹ«Ê½µÄÃèÊöÓëÀûÓÃ

×÷ÕߣºÐìÈÙÏé ³ö°æÉ磺Öйú¿ÆÑ§¼¼Êõ³ö°æÉç ¿¯ÐÐÈÕÆÚ£º2009Äê7ÔÂ

Ò»¡¢Ïà¶ÔΣÏÕ¶Å×ëʾÀý·ÖÎö
RRͨ³£ÓÃÓÚǰհÐÔ×êÑС£¹«Ê½ÖеÄP1ºÍP2±ðÀ밵ʾͳһÊÂÎñÔÚÁ½ÖÖ·ÖÆçÇé¿öϵIJúÉúÂÊ¡£Í¨³£ÓÃP1°µÊ¾Â¶³öÔÚΣÏճɷÖÏÂijÊÂÎñµÄ²úÉúÂÊ£»P2°µÊ¾Î´Â¶³öÔÚΣÏճɷÖÏÂijÊÂÎñµÄ²úÉúÂÊ £¬Á½ÕßÖ®±ÈÖµÓµÓб¶Êý¹ØÏµ¡£ÊÂÎñÖ¸µÄÊÇÖîÈ综²¡¡¢éæÃü¡¢Ï°È¾¡¢·¢²¡µÈ¡£
Ïà¶ÔΣÏÕÐÔ£¨RR£©µÄÍÆË㹫ʽ£¨3ª²5ª²1£©Îª£º
201134143947376

ʾÀý3ª²5ª²1ijҽÉúµ÷²éÁË150Àý³ÉÄê´óÃæ»ýÉÕÉË»¼Õß £¬ÆäÖÐ100ÀýÉËǰÓÐθʮ¶þÖ¸³¦À£Ññ²¡Ê· £¬ÉÕÉ˺ó²úÉú³öѪÕß10Àý £¬50ÀýÎÞÀ£Ññ²¡Ê·ÕßÉÕÉ˺ó²úÉú³öѪÕß2Àý £¬ÊÔÍÆËãÓÐÀ£Ññ²¡ÓëÎÞÀ£Ññ²¡ÉÕÉË»¼ÕßÏû»¯Â·³öѪµÄÏà¶ÔΣÏÕ¶È¡£
¡¾½âÌâ²½Öè¡¿
1ª±ÏȽ«ÌâÖÐµÄÆµÊýÉ¢²¼ÁÐÈ루±í3ª²5ª²1£©¡£
20113414403710

2ª±±ðÀëÍÆËãÀ£Ññ×éÓëÎÞÀ£Ññ×éµÄP1ÓëP2Öµ£º P1=10/100=0ª±1£¨»ò10%£©£»P2=2/50=0ª±04£¨»ò4%£©¡£
3ª±½«P1ÓëP2Á˾ִúÈ빫ʽ3ª²5ª²1 £¬µÃ£º
201134144014551

4ª±Á˾ַÖÎö£ºÉÕÉËǰÓÐÀ£Ññ²¡²¡Ê·ÕßÏû»¯Â·³öѪµÄÏà¶ÔΣÏÕ¶ÈRR=2ª±5 £¬ÕâÒâζ×ÅÓÐÀ£Ññ²¡²¡Ê·ÕßÉÕÉ˺óÏû»¯Â·³öѪ»úÓöÊÇÎÞÀ£Ññ²¡²¡Ê·ÕßµÄ2ª±5±¶¡£
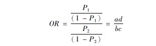
¶þ¡¢ ±ÈÊý±È(OR£©ÓëʾÀý·ÖÎö
ORÒ²³ÆÓÅÊÆ±È £¬³£ÓÃÓÚ»ØÊ×ÐÔ×êÑС£Óɹ«Ê½£¨5ª²5ª²2£©Äܹ»¿´³ö £¬ËüÃÇÖ»ÊÇÁ½¸ö±ÈÊýÏà³ý £¬Òò¶ø £¬³ÆÎª±ÈÊý±È¡£±ÈÊý±ÈµÄ³ÁÒªÒâ˼ÔÚÓÚµ±Ä³ÊÂÎñµÄ²úÉúÂÊ£¨Èç·¢²¡ÂÊ»ò»¼²¡ÂÊ £¬»ò²¡ËÀÂÊ£©ºÜÓ×µÄÇé¿öÏ £¬1-P1≈1 £¬1-P2≈1 £¬´Ó¶øOR≈RR¡£¼´ÔÚijÊÂÎñ²úÉúÂʺÜÓ×µÄÇé¿öÏ £¬±ÈÊý±È½üËÆµØµÅ×ÚÏà¶ÔΣÏÕ¶È¡£´Ë±í £¬µ±OR=1ʱ £¬¿Ï¶¨»áÓÐRR=1 £¬·´Ö® £¬µ±RR=1ʱ £¬¿Ï¶¨»áÓÐOR=1¡£
±ÈÊý±È(OR£©µÄÍÆË㹫ʽ£ºÎª£¨3ª²5ª²2£©£º
201134144026276

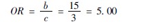
ʾÀý3ª²5ª²2ijҽÉú×êÑÐÉÕÉËÓëÖ°ÒµµÄ¹ØÏµ £¬¹²µ÷²éÁË2¸ö¹¤³§µÄÖ°¹¤ £¬¸÷100ÈË £¬»¯¹¤³§100ÈËÖÐÓÐ20ÈËÒѾ­²úÉú¹ýÉÕÉË £¬·ÄÉ´³§100ÈËÖÐÓÐ5ÈËÒѾ­²úÉú¹ýÉÕÉË £¬ÍÆËãÆä±ÈÊý±È¡£
¡¾½âÌâ²½Öè¡¿
1ª±½«Ê¾Àý3ª²5ª²2ÖеÄÊýÖµ»ãÓÚ±í3ª²5ª²2ÖУº

201134144034472

2ª±±ðÀëÍÆËãadÓëbc£ºad=20×95=1900 £¬bc=80×5=400¡£
3ª±ÍÆËãOR£º1900/400=4ª±75¡£
4ª±Á˾ַÖÎö£º»¯¹¤Ö°ÒµµÄÉÕÉË·¢³¯Æø»áÊÇ·ÄÉ´Ö°ÒµµÄ4ª±75±¶¡£
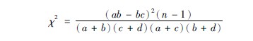
µÚÈý½ÚORÖµµÄχ2¼ìÑé
“²¡Àý-¶ÔÕÕ×êÑДÊÇͨ¹ý»ØÊײ½Öè±ÈÁ¦²¡ÀýºÍ¶ÔÕÕ»¼ÕßÔÚ»¼²¡Ç°Â¶³öÓÚijÖÖ¿ÉÄܵÄΣÏճɷַ½ÃæµÄ²î¾à £¬·ÖÎö¸Ã³É·ÖÓë¼²²¡µÄ¿ÉÄܹØÏµ¡£²¡Àý-¶ÔÕÕ×êÑÐÖÐ £¬ÈôÊDz¡Àý×éÓë¶ÔÕÕ×éµÄ¶³öʷֻȡ¶³öºÍ·Ç¶³öÁ½¸öˮƽ £¬³£ÓÃÉè¼Æ²½ÖèÓÐÁ½ÖÖ £¬Ò»¸öÊdzÉ×éµÄ²¡Àý¶ÔÕÕÉè¼Æ £¬ÁíÒ»¸öÊÇÅä¶ÔµÄ²¡Àý-¶ÔÕÕÉè¼Æ £¬¼´1¡Ã1Åä¶ÔÉè¼Æ¡£ËüÃǹÌÈ»¶¼ÊÇѡȡËĸñ±í·ÖÁдó¾Ö £¬µ«ÄÚÈݲ¼¾Ö²»Ò»Ñù(¼û±í3ª²5ª²3ºÍ3ª²5ª²4)¡£
201134144056256

Ò»¡¢³É×鲡Àý-¶ÔÕÕ×êÑÐ
³É×鲡Àý-¶ÔÕÕ×êÑÐÒ²³Æ³É×é×ÊÁÏ £¬ÊôÓÚµ¥³É·Ö·ÖÎö¡£³É×éÓë¶ÔÕÕ×êÑв¡Àý¶à²»ÊÇÀ´×ÔÒ»¹Ì¶¨ÈËȺ £¬¿ÉÄÜΪÃÅÕï»ò²¡·¿²¡ÈË £¬¹ÊÎÞ·¨ÍÆËã·¢²¡ÂÊ»òéæÃüÂÊ £¬Ò²ÄÑÒÔÍÆËãRRÖµ £¬Ö»ÄÜÓÃORÀ´¹À¼ÆRRÖµµÄ´óÓ× £¬Ó¦Ñ¡È¡±ÈÊý±È£¨OR£©¹«Ê½ÍÆËã £¬ ÍÆË㹫ʽѡȡ3ª²5ª²2 £¬ÏÔÖøÐÔ¼ìÑ鹫ʽΪ(3ª²5ª²3)£º
20113414419282

ʾÀý3ª²5ª²3ijҽÉú×êÑÐÆ¤·ôñ£ºÛ°©ÓëÉÕÉËñ£ºÛµÄ¹ØÏµ £¬×ÊÁÏ»ãÓÚ±í3ª²5ª²5ÖС£ÎÊÉÕÉËñ£ºÛÊÇ·ñÊÇ×é³ÉÉÕÉËñ£ºÛ°©µÄΣÏճɷÖ £¿
201134144116134

¡¾±ÀÀ£²½Öè¡¿
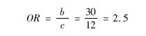
1ª±Æ¾¾Ý¹«Ê½3ª²5ª²2 £¬ÍÆËã±ÈÊý±È£¨OR£©£º
201134144125728

2ª±±ÈÊý±ÈµÄÈç¹û¼ìÑ飺µ±OR=1ʱ £¬ÒÔΪñ£ºÛ°©ÓëÉÕÉËñ£ºÛÎÞ¹ØÁª¡£
3ª±³ÉÁ¢¼ìÑéÈç¹û £¬È·¶¨¼ìÑéË®×¼£ºH0£º×ÜÌåOR=1£»H1£º×ÜÌåOR≠1£»α=0ª±05¡£
4ª±ÍÆËãΧ2ÊýÖµ£ºÒÔ¹«Ê½£¨3ª²5ª²3£©ÍÆËã £¬µÃ£º

201134144133251

5ª±Á˾ַÖÎö£ºÒò±¾Àýχ2=28ª±75 £¬28ª±75£¾χ20ª±005£¨1£©£¨7ª±88£© £¬¹ÊP£¼0ª±005 £¬±ÈÊý±Å×м«¶ÈÏÔÖøÒâ˼ £¬¹Ê¿ÉÒÔΪÉÕÉËñ£ºÛ²úÉú°©±äµÄΣÏÕÐÔ´óÓÚ·ÇÉÕÉËñ£ºÛÈËȺ¡£
¶þ¡¢ Åä¶ÔÉè¼Æ×ÊÁÏ·ÖÎö
Åä¶Ô×ÊÁÏ·ÖÎöÓֳƓ1¡Ã1”Åä¶Ô×ÊÁÏ £¬Ò²Êôµ¥³É·Ö×ÊÁÏ¡£µ±“²¡Àý-¶ÔÕÕ×êÑДÊÇÒÔһȷ¶¨ÈËȺΪ¶ÔÏ󣨸ÃÈ·¶¨ÈËȺÔ̺¬ÁËÈ«Êý²¡Àý»òÈ«Êý²¡ÀýµÄÒ»¸öËæ»úÑù±¾£©Ê± £¬¿ÉÓÃÒÔϹ«Ê½ÍÆËãÆäÈËȺÖж³öÕßÓë·Ç¶³öÕßÈËÊý £¬²¢½«Æä×÷Ϊ·Öĸ £¬Çó³öÁ½×éµÄ·¢²¡ÂÊ»òéæÃüÂÊ £¬¶øºóÍÆËãORºÍ½øÐÐÏÔÖøÐÔ¼ìÑé¡£
201134144144710

ʾÀý3ª²5ª²4ijҽÉú×êÑдóÃæ»ýÉÕÉËѡȡ“賦ð¤Ä¤±£»¤¼Á”Ô¤·Àθ³öѪµÄ×÷Óà £¬×ÊÁÏ»ãÓÚ±í3ª²5ª²6ÖС£ÎÊ´óÃæ»ýÉÕÉ˲¡È˲»ÓÓ賦ð¤Ä¤±£»¤¼Á”½øÐÐÔ¤·ÀÒ½ÖÎ £¬ÊÇ·ñÊÇ´óÃæ»ýÉÕÉ˲¡È˲úÉúθ³öѪµÄΣÏճɷÖ?
201134144159919

¡¾½âÌâ²½Öè¡¿
1ª±Æ¾¾Ý¹«Ê½£¨3ª²5ª²4£© £¬ÇóORµÄÖµ£º
20113414426207

2ª±±ÈÊý±ÈµÄÈç¹û¼ìÑ飺¼´¼ìÑé×ÜÌåORÓë1Ö®¼äµÄ²î¾àÊÇ·ñÓµÓÐͳ¼ÆÑ§Òâ˼¡£
£¨1£©³ÉÁ¢¼ìÑéÈç¹û £¬È·¶¨¼ìÑéË®×¼£ºH0£º×ÜÌåOR=1£» H1£º×ÜÌåOR≠1£» α=0ª±05¡£
£¨2£©ÍÆËã¼ìÑéͳ¼ÆÁ¿£ºÆ¾¾Ý±í3ª²5ª²5Êý¾Ý £¬ÍÆËãX2Öµ£º
201134144214129

3ª±È·¶¨PÖµ £¬×÷³ö´§¶È½áÂÛ£º
²éχ2½çÖµ±í £¬ÓÉÓÚ×ÔÓɶȣ¨n′£©=1 £¬ χ2=6ª±72£¾χ20ª±01(1)¡£°´α=0ª±05µÄË®×¼»Ø¾øH0 £¬½ÓÊÜH1 £¬×¢Ã÷賦ð¤Ä¤±£»¤¼Á¶Ô´óÃæ»ýÉÕÉ˲¡È˳¦Â·³öѪӵÓб£»¤×÷Óà £¬×¢Ã÷²»ÓÃ賦ð¤Ä¤±£»¤¼Á·ÀÖÎÕß²úÉú³¦Â·³öѪµÄÏà¶ÔΣÏÕÐÔΪ±£»¤Ò½ÖÎ×éµÄ6ª±72±¶¡£
Èý¡¢ ¹ØÓÚORµÄ95%¿ÉÐÅÇø¼äµÄÍÆËã
ORÍÆËãÖµ½öÊÇÒ»¸ö×ÜÌå²ÎÊý £¬ËüËùÖ¸µÄ½öÊÇÒ»¸öÃæ £¬¶ø²»ÊÇÒ»¸öµã £¬±ØÒªÍÆËãÆä95%µÄ¿ÉÐÅÇø¼ä £¬ÍÆË㹫ʽΪ£¨3ª²5ª²6£©£ºOR1±1ª±96/Χ2
ʾÀý3ª²5ª²5£ºÄ³Ò½Éú×êÑл§ÄÚÉÕÉËÓë»§±íÉÕÉËÓëÎüÈëΣÏյĹØÏµ £¬Á˾ּû±í3ª²5ª²7£º
201134144225687

¡¾½âÌâ²½Öè¡¿
1ª±Æ¾¾Ý¹«Ê½£¨3ª²5ª²2£©ÍÆËãOR£º
201134144239330

3ª±Òò×ÔÓɶÈΪ1 £¬χ2£¾6ª±64 £¬¹ÊP£¼0ª±01 £¬±ÈÊý±Å×м«¶ÈÏÔÖøÒâ˼ £¬¿ÉÒÔΪ¶³öÓÚÊÒÄÚ»·¾³²úÉúÎüÈëΣÏÕµÄΣÏÕÐÔ±ÈÊÒ±í×éΪ¸ß¡£
4ª±Æ¾¾ÝORµÄ95%¿ÉÐÅÇø¼äµÄÍÆË㹫ʽ£¨3ª²5ª²6£©£ºORµÄ95%¿ÉÐÅÇø¼äΪ£º

1ª±99£¨1±1ª±96/15ª±93£©£¨¼´¸ßµÍµßô¤ÁìÓòÔÚ1ª±42¡«2ª±79Ö®¼ä£©¡£
ʾÀý3ª²5ª²6£ºÄ³Ò½Éú×êÑл¯¹¤Óë·Ç»¯¹¤Ö°Òµ¹¤ÈËÓëÉÕÉ˵ĹØÏµ £¬µ÷²é×ÊÁÏ»ãÓÚ±í3ª²5ª²8 £¬Îʶ³öÓÚ»¯¹¤Ö°Òµ×鹤È˲úÉúÉÕÉ˵ÄΣÏÕÐÔÊÇ·ñ¸ßÓÚ·Ç»¯¹¤Ö°Òµ×é £¿²¢ÍÆËãÆä95%¿ÉÐÅÇø¼ä¡£
20113414437743

¡¾½âÌâ²½Öè¡¿
1ª±Æ¾¾Ý¹«Ê½£¨3ª²5ª²4£©ÍÆËãOR£º
201134144341552

2ª±Æ¾¾Ý¹«Ê½£¨3ª²5ª²5£©ÍÆËãχ2Öµ£º
201134144349807

3ª±Òò×ÔÓɶÈΪ1 £¬χ2£¾6ª±64 £¬¹ÊP£¼0ª±01 £¬±ÈÊý±Å×ɼ«¶ÈÏÔÖøÒâ˼ £¬¿ÉÒÔΪ¶³öÓÚ»¯¹¤Ö°Òµ²úÉúÉÕÉ˵ÄΣÏÕÐԱȷǻ¯¹¤×éΪ¸ß¡£
4ª±Æ¾¾ÝORµÄ95%¿ÉÐÅÇø¼äµÄÍÆË㹫ʽ£¨3ª²5ª²6£©£ºORµÄ95%¿ÉÐÅÇø¼äΪ£º

2ª±5£¨1+1ª±96/6ª±88£©£¨¼´¸ßµÍµßô¤ÁìÓòÔÚ1ª±26¡«4ª±96£©

¡¾ÍøÕ¾µØÍ¼¡¿