俄罗斯贵宾会集团

English 俄罗斯贵宾会集团集团企业邮箱
icon_searchclose

第二节 有关系数的推算

作者:徐荣祥 出版社:中国科学技术出版社 刊行日期:2009年7月

一、幼样本推算法
示例391测得8例烧伤病人的血浆白蛋白与胶体渗入压数值(表391),确定它们之间是否存在直线关系?
201134152520821

【解题步骤】
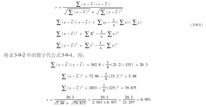
1凭据表391中的数字,以横坐标暗示血浆白蛋白(x),纵坐标暗示渗入压(y),绘成散点图(示图391)。从所绘造的图中能够看出,这些点子根基呈直线趋向。

201134152537662
2列有关系数推算表(表392)
201134152553451

3推算r值:凭据以下公式推算r值。

201134152613442

4结论:r为0953,暗示血浆胶体渗入压随血浆白蛋白浓度的增长而上升。
二、大样本分组资料推算法
由于大样本的原始资料较多,应先假造有关的频数表,再用简捷法推算均数(x)。有关频数造表步骤与单变量频数表类似,所分歧的是单变量频数表只按一种变量x分组,而有关频数表有两个变量(x、y),取一个变量(x)为纵标目,另一个变量(y)为横坐标目。纵标目由左到右、由幼到大写在表的上端;横标目自上到下、由幼到大写在表的左侧。而后划记,接每对数据记在纵横标目订交处,推算各组段的频数,将纵行的总计写鄙人面的fx横行内,将横行的总频数写在fy纵行内。而后参照计量资料指标的描述章节均匀数的简捷法,别离求x、y的简捷值(x、fx),进走运算。

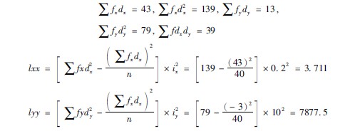
示例392某医生丈量了40例早期大面积烧伤病人的血浆黏度(CP),观察了局汇入表393中,试求烧伤面积与血浆黏度之间有关系数?
201134152641901

【解题步骤】
(1)作有关推算表(表393):先将资料按烧伤面积(竖行)和血浆黏度(横行)填入表中,再将竖行与横行订交的病例数(频数)填入相应之交叉处。如“~40%”TBSA组段血浆黏度在“16~”段处有1例,即在此处填1,余仿此。
(2)参照均匀数值及尺度差的简捷法,别离求出x及y的dx简化值(dx、dy)、∑fxdx、∑fydy、 ∑fxd2x及fyd2y,填入表的响应地位(注:∑fx=∑fy,本例均为40)。
(3)表中∑fdx的推算步骤:各幼格的频数(f)乘相应的dx,再将各乘积相加。如y为“~70”段的行内,∑fdx =4×0+1×1+1×2+1×4=7;y=“~90”段行内,∑fdx=1×(-1)+2×0+1×1+3×2+2×3+1×4=16。(注:∑fdx的总计应蹬宗∑fxdx ,本例皆为43)。
(4)∑fdxdy的推算:为各行的∑fdX与dy相乘之积。
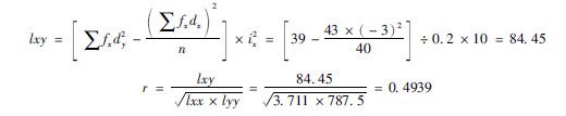
(5)求r值:因本例为大样本资料,不能直接代入幼样本r公式,需选取分组公式推算r:
①求离均差平方和与离均差积和:
求离均差平方和(lxx,lyy):离均差积和(lxy);
本例n=40,x组距ix=02,y组距iy=10;
201134152719852

201134152726869
(5)结论:因r值为0494,注明烧伤早期血浆黏度随烧伤面积的增大而上升。
三、有关系数的显著性检验
上述两例的有关系数均是凭据样本资料推算出来的。和其他统计量一样,凭据样本资料推算出来的有关系数也必然受到抽样误差的影响。也就是说,从有关系数为0的总体 (即无线性有关)中随机抽样也可能抽到|r|>0的样本。因而,通过推算得到有关系数后,还不能凭据|r|的大幼对x、y关系的亲昵水平作出判断,必要进行r显著性检验,以便估推算得的r由抽样误差(即有关系数为0的总体)引起的可能性有多大。若是从有关系数为0的总体中随机抽得样本r的机遇较大(P>005),则样本r很可能抽自r为0的总体,两者差距无显著意思;此时即便|r|值比力大,也不能以为x与y有有关关系。反之,若是从有关系数为0的总体中随机抽获得到如此大的样本r的机遇较幼 (P≤005),则以为此样本r很可能不是抽自r为0的总体,两者(样本r和总体)相差显著。此时即便|r|比力幼,我们也以为x与y有有关关系。只有有关有显著意思时,我们能力凭据有关系数绝对值的大幼来注明x与y互有关系的亲昵水平。
有关系数的显著性检验可用t检验法和查表法确定:
201134152753597

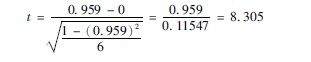
1以示例391为例,推算t值,得:
20113415285884

本例自由度为(n′)为6, P005界值为2447,P001界值为3707,本例t=8305,不仅大于2447,也大于3707,故P<001,即有关系数极度显著。
2以示例392为例,推算t值,得:
201134152814648

本例自由度(n′)为38, P005界值为2024,P001界值为2712,P0001界值为3566,本例t=350,大于2024和2712,但幼于3566,故P<0001,即有关系数极度显著。

【网站地图】